• Предмет: Алгебра
  • Автор: NiGhtWolFs
  • Вопрос задан 11 лет назад

Решить уравнение и написать ответ (решение можно не писать, только ответ)

Приложения:

Ответы

Ответ дал: Ния47
0

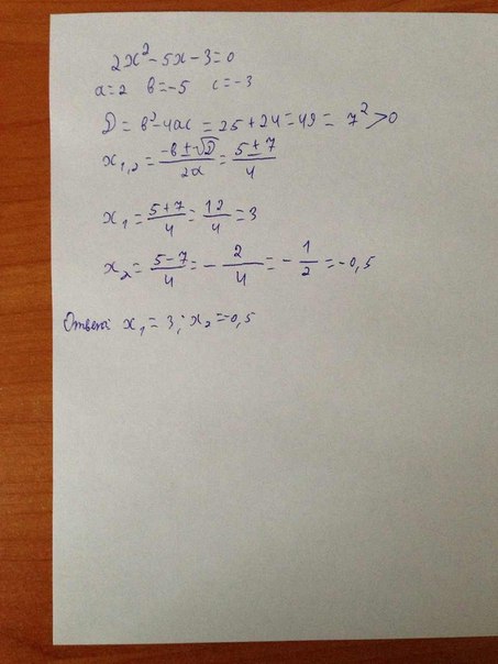
2x^2-5x-3=0

D=25+24=49

x_1=frac{5+7}{4}=frac{12}{4}=3

x_2=frac{5-7}{4}=frac{-2}{4}=-frac{1}{2}

Ответ:  x_1=3, x_2=-frac{1}{2}

Ответ дал: blood13
0

!!!!!!!!!!!!!!!!!!!!!!!!!!!!!!!!!!!!!!!!!!!!!!!!!!!!!!!!!!!!!!!!!!!!!!!!!!!!!!!!!!!!!!!!!!!!!!!!!!!!!!!!!!!!!!!!!!!!!!!!!

Приложения:
Вас заинтересует