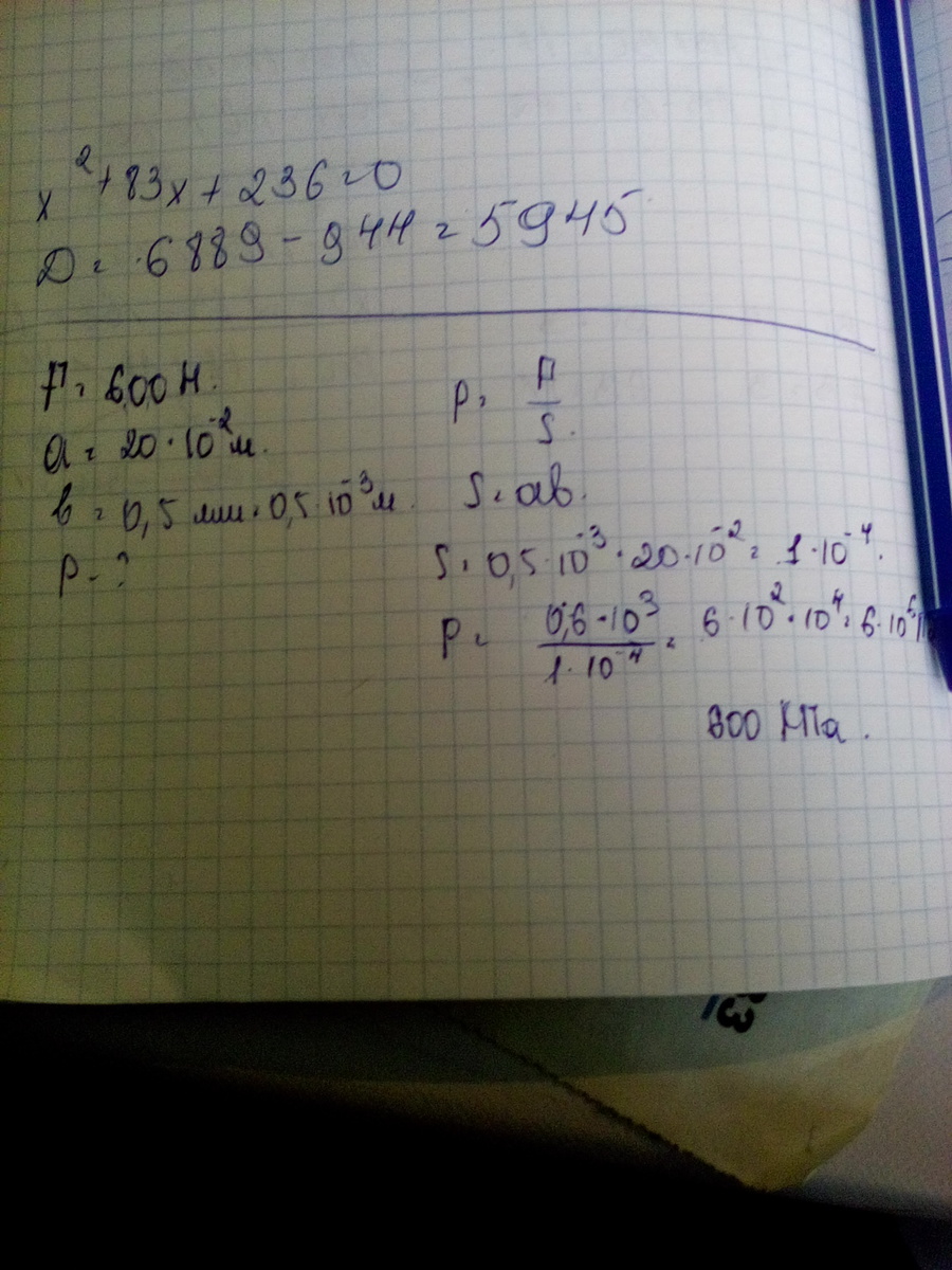
человек нажимает на лопату силой 600 Ньютонов Какое давление оказывает лопата на почву если ширина ее лезвия 20 сантиметров а толщина режущего края ноль целых пять миллиметров Зачем лопаты остро затачивают
Ответы
Ответ дал:
0
ответ будет 600 кПа.удачи в физике
Приложения:

Вас заинтересует
2 года назад
2 года назад
7 лет назад
10 лет назад
10 лет назад
10 лет назад