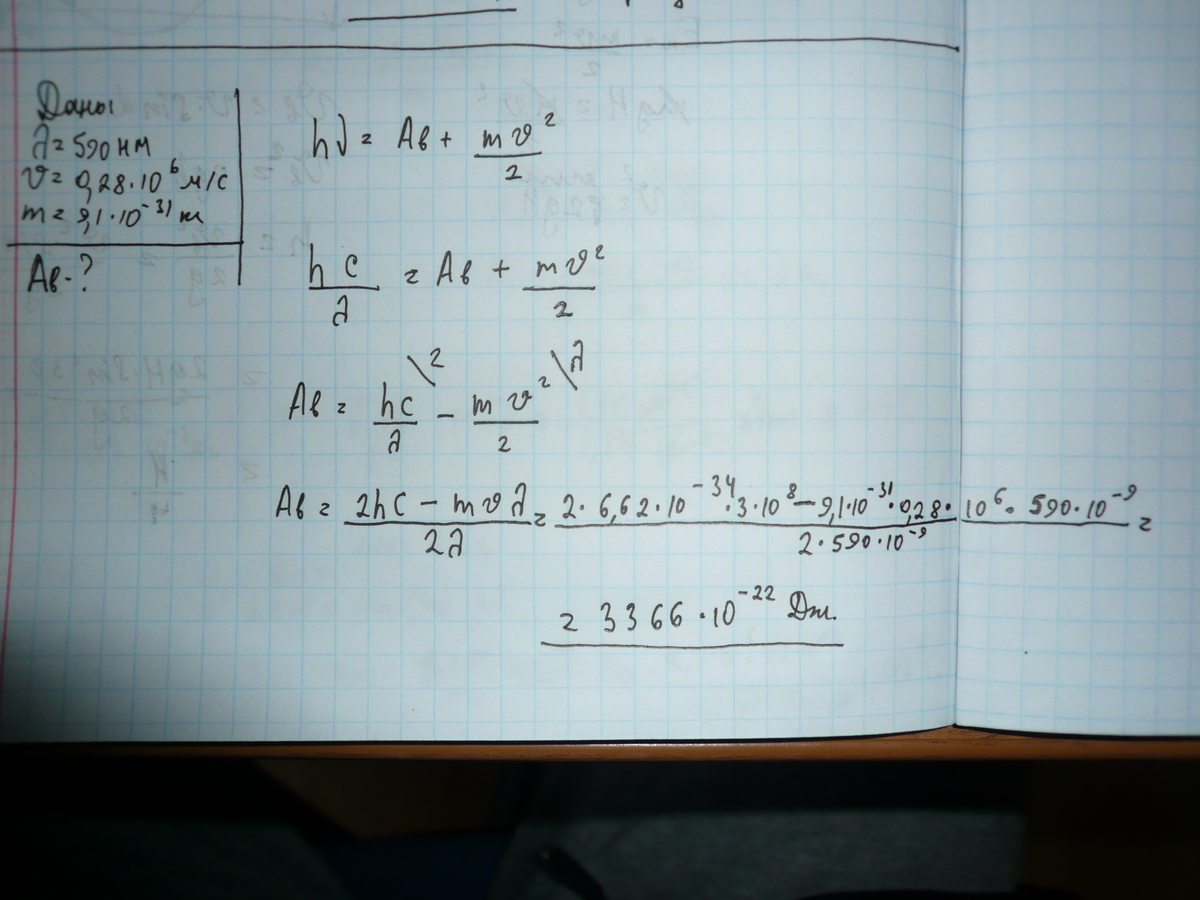
найти работу выхода электрона с поверхности металла, если при облучении его желтым светом с длиной волны 590 нм, скорость выбитых электронов равна 0,28 * 10^6 м/с
Ответы
Ответ дал:
0
все на фото!!!!!!!!!!!!!!!!!!!!!!!!!!!!!!!!!!!!!!!
Приложения:

Вас заинтересует
2 года назад
8 лет назад
10 лет назад
10 лет назад
10 лет назад