• Предмет: Алгебра
  • Автор: MasyaMeaw
  • Вопрос задан 11 лет назад

Пример по интегралам. Помогите, пожалуйста!!! Условие во вложениях

Приложения:

Ответы

Ответ дал: palilov2436
0

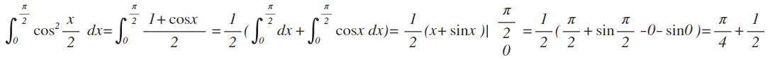
решение смотри во вложении

Приложения:
Вас заинтересует