Ответы
Ответ дал:
0
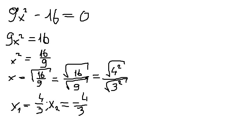
9х²-16=0
9х²=16
х²=16/9
х=√16/9
х=4/3, х=-4/3
9х²=16
х²=16/9
х=√16/9
х=4/3, х=-4/3
Ответ дал:
0
Спасибо!!
Ответ дал:
0
Так, как x^2 = 16/9, то (4/3) = 16/9 и (-4/3) = 16/9.
Приложения:

Вас заинтересует
2 года назад
2 года назад
7 лет назад
10 лет назад
10 лет назад
10 лет назад