Всем привет! Помогите пожалуйста! До субботы надо!!! №1. Объём шара равен 36п см. найдите его радиус. №2. объёмы 2 шаров относится как 8 : 1. Найдите отношение их радиусов. №3. Диаметр шара радиуса 9 см разделён на 3 равные части. Через точки деления проведены плоскости, перпендикулярные диаметру. Найдите объём образовавшихся частей (2 сегмента и шаровой слой). заранее всем спасибо!***
Ответы
Ответ дал:
0
1)V=4/3*Пи*R^3
Выразим радиус:
R=кубический корень из (V/4Пи)
R=3
2)V1=4/3*Пи*R1^3
V2=4/3*Пиi*R2^3
R1/R2=2/1
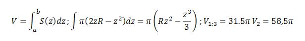
3) во вложении
Приложения:

Вас заинтересует
2 года назад
2 года назад
8 лет назад
8 лет назад
10 лет назад
10 лет назад