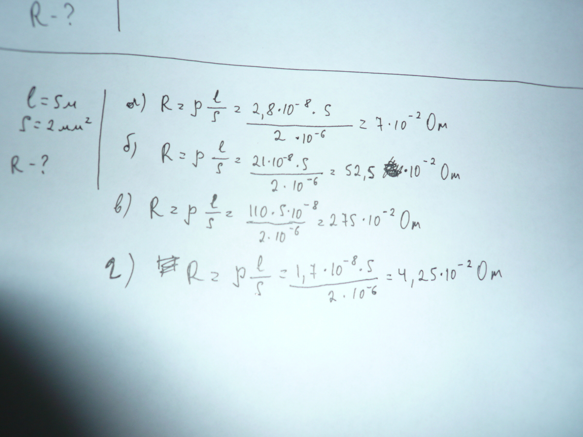
Длина провода равна 5 м, а площадь его поперечного сечения равна 2 мм в квадрате. Определите сопротивление такого провода, если он изготовлен : а)из алюминия; б) из свинца; в) из нихрома; г) из меди.
Ответы
Ответ дал:
0
111111111111111111111111111111111
Приложения:

Вас заинтересует
2 года назад
2 года назад
8 лет назад
8 лет назад
10 лет назад
10 лет назад
10 лет назад