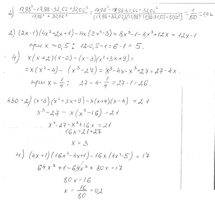
Помогите 428: Вычислите то что во влажениях . 429: Найдите значения выражения 430: Решите Уравнения то что отметила помгите во влажениях
Приложения:
Ответы
Ответ дал:
0
мой вариант решение данных примеров во вложении
Приложения:
Вас заинтересует
3 года назад
3 года назад
8 лет назад
8 лет назад
11 лет назад
11 лет назад
11 лет назад