Ответы
Ответ дал:
0
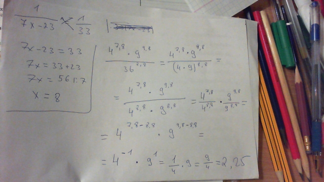
1)7х-23=33
7х=33+23
7х=56
х=56:7
х=8
2)-
7х=33+23
7х=56
х=56:7
х=8
2)-
Ответ дал:
0
Я надеюсь,что правильно. И тебе это поможет
Приложения:

Вас заинтересует
2 года назад
7 лет назад
7 лет назад
10 лет назад
10 лет назад