• Предмет: Математика
  • Автор: leverinova
  • Вопрос задан 10 лет назад

Помогите пожалуйста решить!!!

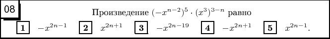
Приложения:

Ответа на этот вопрос пока нет. Попробуйте найти его через форму поиска.

Вас заинтересует