• Предмет: Алгебра
  • Автор: LostinAmsterdam
  • Вопрос задан 2 года назад

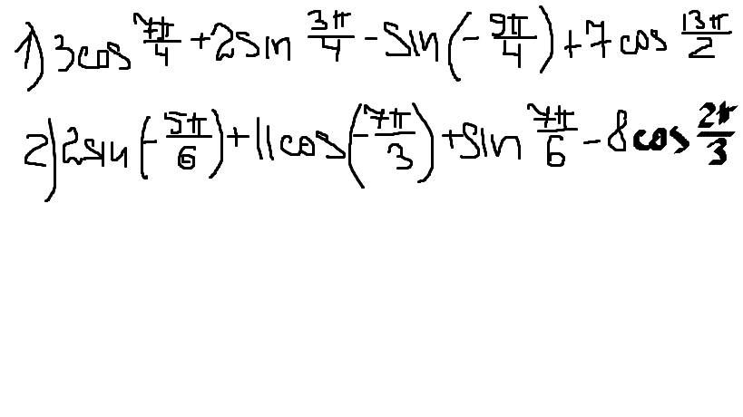
Решите два тригонометрических выражения

Приложения:

Ответы

Ответ дал: 79513247443
1
1) Упрощение выполняется по тригонометрическим формулам, основных формул 25 (какие я выкладываю). 2) Часто используются формулы приведения: если под знаком тригонометрической функции содержится сумма переменной и угла вида (, то такое выражение можно упростить используя следующие правила: *наименование функции сохраняется, если угол кратен числу п (п, 2п, 3п, ...) *наименование фунции меняется на кофункцию, если угол не кратен числу п (п/2, 3п/2, 5п/2, ...) * перед полученной функцией необходимо поставить тот знак, который имела бы исходная фукнция при прибавлений к ней переменной от 0 до п/2

79513247443: Это вам как нужно учится
LostinAmsterdam: Спасибо за теорию, буду пытаться решить
79513247443: Хорошо
Вас заинтересует