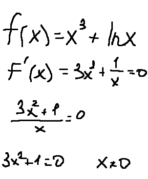
Помогите пожалуйста с интервалом монотонности функции. Решение уже начал , но правильно ли ? Что дальше делать , если правильно.
Если решать через дискриминант 3x^2+1=0 , то Д < 0 , а значит корней нет. И что делать?
Приложения:
Ответы
Ответ дал:
1
Начиная с третьей строчки, в вашем предполагаемом решении содержится ошибка, вы некорректно привели всё к общему знаменателю.
Так что продолжим, начиная с ещё правильной второй строки вашего рассуждения.
Но! Следует сделать важно замечание, которое имеет очень серьёзные последствия для всего решения.
Область определения заданной функции вовсе не вся числовая ось, а только положительные числа, поскольку на отрицательных числах функция логарифма в действительных числах не определена.
Итак
;
Далее, продолжаем ваше решение:
;
;
;
;
;
;
;
;
Или сразу можно записать в интервальном виде:
;
;
Причём, что следует и из предыдущего решения:
![D = \frac{1}{ \sqrt[3]{9} } - \frac{4}{ \sqrt[3]{9} } < 0 , D = \frac{1}{ \sqrt[3]{9} } - \frac{4}{ \sqrt[3]{9} } < 0 ,](https://tex.z-dn.net/?f=+D+%3D+%5Cfrac%7B1%7D%7B+%5Csqrt%5B3%5D%7B9%7D+%7D+-+%5Cfrac%7B4%7D%7B+%5Csqrt%5B3%5D%7B9%7D+%7D+%26lt%3B+0+%2C+)
а значит, других корней нет. А поэтому, на области определения, т.е. при
заданная функция всегда имеет положительную производную, а значит, всегда монотонно возрастает.
О т в е т : интервал монотонного возрастания
функции
– это 
*** В дополнение о том, о чём автор не спрашивал. У данной функции есть два интервала разнонаправленного кручения (что видно и из графика). От ноля до некоторого значения она закручивается по часовой стрелки, а после некоторого числа – против. Для нахождения этой точки (точки перегиба) можно решить как уравнение относительно ноля, вторую производную заданной функции.
;
;
;
;
;
;
Это и есть абсцисса точки перегиба. Чтобы найти ординату точки перегиба, подставим это значение в исходную функцию:
;
Поскольку это единственный корень, то, с учётом общей алгебраической положительности второй производной, она положительна после него и отрицательна до.
Таким образом, на
и
– вторая производная отрицательна, т.е. график функции выпуклый, а кручение графика происходит по часовой стрелки.
На
и
– вторая производная положительна, т.е. график функции вогнутый, а кручение графика происходит против часовой стрелки.
Так что продолжим, начиная с ещё правильной второй строки вашего рассуждения.
Но! Следует сделать важно замечание, которое имеет очень серьёзные последствия для всего решения.
Область определения заданной функции вовсе не вся числовая ось, а только положительные числа, поскольку на отрицательных числах функция логарифма в действительных числах не определена.
Итак
Далее, продолжаем ваше решение:
Или сразу можно записать в интервальном виде:
Причём, что следует и из предыдущего решения:
а значит, других корней нет. А поэтому, на области определения, т.е. при
О т в е т : интервал монотонного возрастания
функции
*** В дополнение о том, о чём автор не спрашивал. У данной функции есть два интервала разнонаправленного кручения (что видно и из графика). От ноля до некоторого значения она закручивается по часовой стрелки, а после некоторого числа – против. Для нахождения этой точки (точки перегиба) можно решить как уравнение относительно ноля, вторую производную заданной функции.
Это и есть абсцисса точки перегиба. Чтобы найти ординату точки перегиба, подставим это значение в исходную функцию:
Поскольку это единственный корень, то, с учётом общей алгебраической положительности второй производной, она положительна после него и отрицательна до.
Таким образом, на
На
Приложения:
Pavelikano:
Спасибо!
Вас заинтересует
2 года назад
2 года назад
2 года назад
7 лет назад
7 лет назад
9 лет назад
9 лет назад