Ответы
Ответ дал:
0
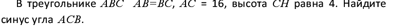
решение в приложенном документе
Приложения:

Вас заинтересует
1 год назад
1 год назад
2 года назад
2 года назад
7 лет назад
8 лет назад