Ответы
Ответ дал:
1
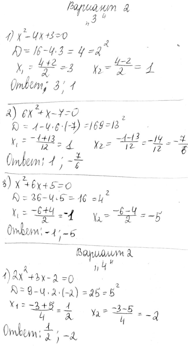
это первая часть,вторая тоже тут)
Приложения:


Ответ дал:
0
Вас заинтересует
1 год назад
1 год назад
2 года назад
8 лет назад
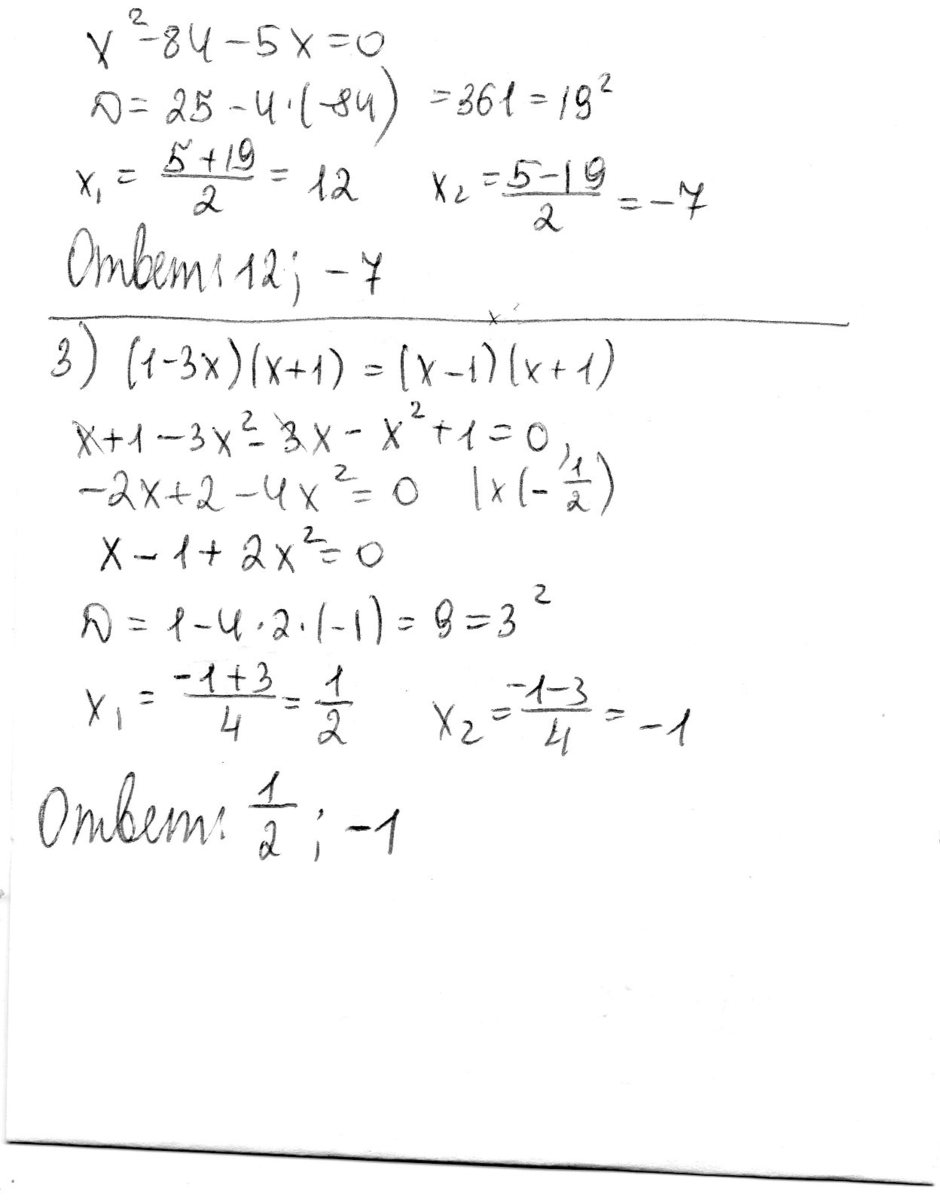
x-3x^2+1-3x=x^2-1
4x^2+2x-2=0
D=4+32=36=6^2
x1=-1
x2=0.5