Ответы
Ответ дал:
0
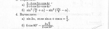
3(б)
[1-cos(9π/4-2a)]/2-[(1-cos(17π/4-2a)]/2=
=[1-cos(2π+π/4-2a)]/2-(1-cos(4π+π/4-2a)]/2=
=[1-cos(π/4-2a)]/2-[1-cos(π/4-2a)]/2=0
4(a)
sina+cosa=5/4
sin2a=(sina+cosa)²-1
sin2a=25/16-1=9/16
[1-cos(9π/4-2a)]/2-[(1-cos(17π/4-2a)]/2=
=[1-cos(2π+π/4-2a)]/2-(1-cos(4π+π/4-2a)]/2=
=[1-cos(π/4-2a)]/2-[1-cos(π/4-2a)]/2=0
4(a)
sina+cosa=5/4
sin2a=(sina+cosa)²-1
sin2a=25/16-1=9/16
Вас заинтересует
2 года назад
2 года назад
2 года назад
7 лет назад
9 лет назад
9 лет назад