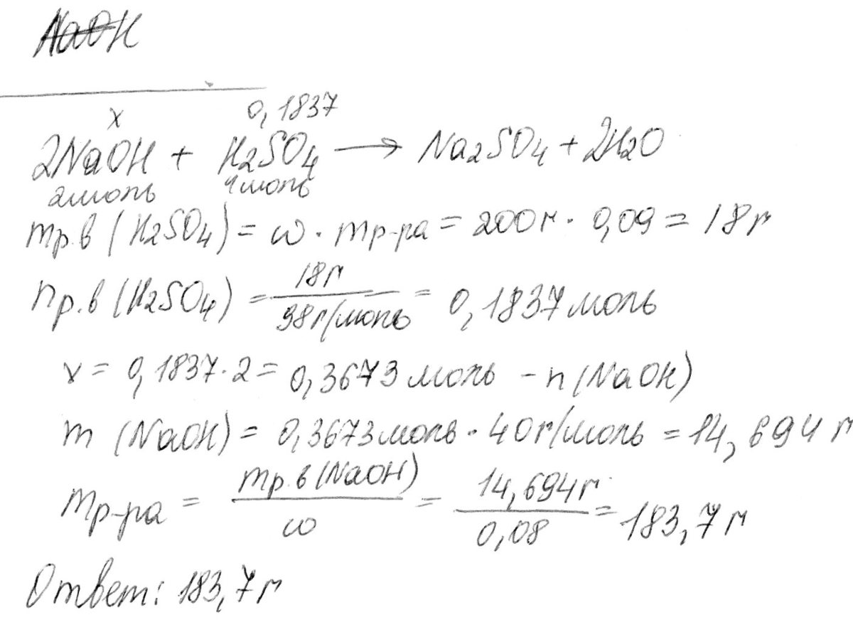
Рассчитаете масса 8% -ным раствором NaOH необходимым для нейтрализации
200 г H2SO4 концентрацией 9%
amana98:
А что вам в задаче нужно найти?
Ответы
Ответ дал:
1
Держите,надеюсь,что правильно
Приложения:

Вас заинтересует
1 год назад
1 год назад
2 года назад
2 года назад
7 лет назад
7 лет назад
8 лет назад