Ответы
Ответ дал:
1
По идее, арксинус смежного с альфой угла равен asin(0.5) = 30гр. Почему 0.5 - Радиус окружности =1, а диагональ выходит на -2. 1/2=0.5. Теперь найти альфу: 180-30=160гр.
Но может оказаться и так, что нужно найти acos(0.5) = 60гр. Тогда альфа равна 180-60=120гр.
Не помню уже точно.
Но может оказаться и так, что нужно найти acos(0.5) = 60гр. Тогда альфа равна 180-60=120гр.
Не помню уже точно.
NaaMan:
Вернее 180-30=150гр.
Ответ дал:
2
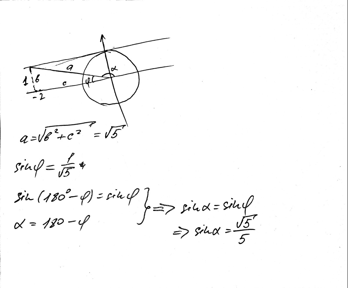
Решение во вложении.
Удачи!
Удачи!
Приложения:

Вас заинтересует
1 год назад
2 года назад
2 года назад
7 лет назад
7 лет назад