Ответы
Ответ дал:
0
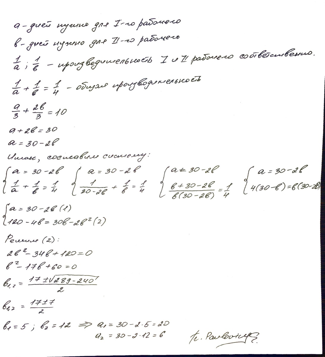
Система уравнений и ее решение во вложении.
Ответ: два варианта: 1) первый рабочий за 20 дней, тогда второй - за 5 дней. 2) первый рабочий 6 дней, тогда второй - за 12 дней.
Успехов!
Ответ: два варианта: 1) первый рабочий за 20 дней, тогда второй - за 5 дней. 2) первый рабочий 6 дней, тогда второй - за 12 дней.
Успехов!
Приложения:
Вас заинтересует
2 года назад
2 года назад
2 года назад
2 года назад
7 лет назад
9 лет назад