• Предмет: Алгебра
  • Автор: Elka2419
  • Вопрос задан 11 лет назад

буду благодарна:)))))))))))

Приложения:

Ответы

Ответ дал: Yena
0

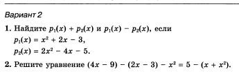
p₁(x)+p₂(x)=(x²+2x-3)+(2x²-4x-5)=x²+2x-3+2x²-4x-5=3x²-2x-8

p₁(x)-p₂(x)=(x²+2x-3)-(2x²-4x-5)=x²+2x-3-2x²+4x+5=-x²+6x+2

 

(4x-9)-(2x-3)-x²=5-(x+x²)

4x-9-2x+3-x²=5-x-x²

2x-6=5-x

3x=11

x=3 целых 2/3

 

Ответ дал: Alexаndr
0

1)p_1(x)+p_2(x)=x^2+2x-3+2x^2-4x-5=3x^2-2x-8\p_1(x)-p_2(x)=x^2+2x-3-2x^2+4x+5=-x^2+6x+2

 

 

2)4x-9-2x+3-x^2=5-x-x^2\3x=11\x=frac{11}{3} 

Вас заинтересует