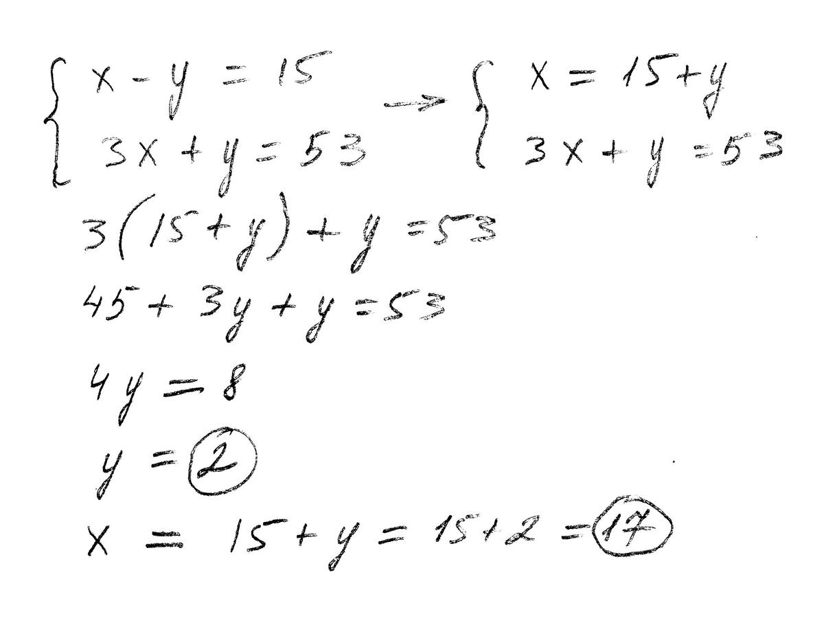
Разность двух чисел равна 15. Если первое число увеличить в три раза, то полученная сумма будет равна 53. Найди исходные числа
Косинус13:
системы уравнений учили?
Ответы
Ответ дал:
0
пусть первое число — х, второе число — у
Приложения:

Вас заинтересует
1 год назад
2 года назад
2 года назад
7 лет назад
7 лет назад
8 лет назад