• Предмет: Алгебра
  • Автор: AdelinaRonina
  • Вопрос задан 3 года назад

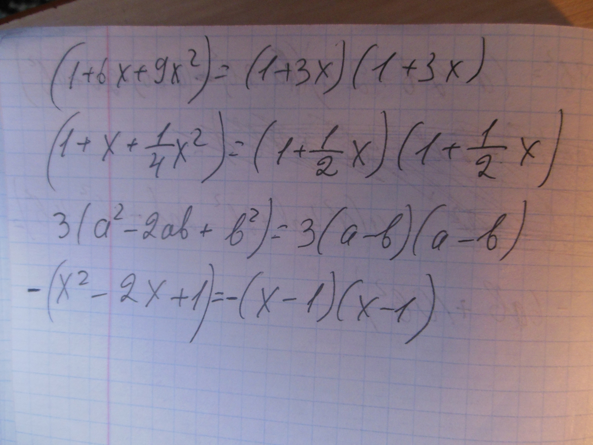
Разложить на множители номер 699

Приложения:

Ответы

Ответ дал: miron2077
1
решение в приложении
Приложения:

AdelinaRonina: Спасибки)
miron2077: пожалуйста!
ShirokovP: Мирон, в последнем всё таки минус должен быть
- (x^2 - 2x + 1) = - (x - 1)^2
ShirokovP: Остальное верно
miron2077: спасибо, что проверяете! Я болею, голова плохо работает! Исправил!
miron2077: А Вы меня проверяете просто так или Вам поручили?
ShirokovP: Нет, просто так
ShirokovP: Выздоравливай! 
miron2077: ОК!
Вас заинтересует