Ответы
Ответ дал:
2
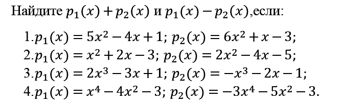
1
p1(x)+p2(x)=5x²-4x+1+6x²+x-3=11x²-3x-2
p1(x)-p2(x)=5x²-4x+1-6x²-x+3=-x²-5x+4
2
p1(x)+p2(x)=x²+2x-3+2x²-4x-5=3x²-2x-8
p1(x)-p2(x)=x²+2x-3-2x²+4x+5=-x²+6x+2
3
p1(x)+p2(x)=2x³-3x+1-x³-2x-1=x³-5x
p1(x)-p2(x)=2x³-3x+1+x³+2x+1=3x³-x+2
4
p1(x)+p2(x)=x^4-4x²-3-3x^4-5x²-3=-2x^4-9x²-6
p1(x)-p2(x)=x^4-4x²-3+3x^4+5x²+3=4x^4+x²
p1(x)+p2(x)=5x²-4x+1+6x²+x-3=11x²-3x-2
p1(x)-p2(x)=5x²-4x+1-6x²-x+3=-x²-5x+4
2
p1(x)+p2(x)=x²+2x-3+2x²-4x-5=3x²-2x-8
p1(x)-p2(x)=x²+2x-3-2x²+4x+5=-x²+6x+2
3
p1(x)+p2(x)=2x³-3x+1-x³-2x-1=x³-5x
p1(x)-p2(x)=2x³-3x+1+x³+2x+1=3x³-x+2
4
p1(x)+p2(x)=x^4-4x²-3-3x^4-5x²-3=-2x^4-9x²-6
p1(x)-p2(x)=x^4-4x²-3+3x^4+5x²+3=4x^4+x²
Вас заинтересует
2 года назад
2 года назад
7 лет назад
9 лет назад
9 лет назад