Ответы
Ответ дал:
0
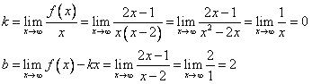
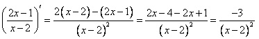
Область определения: (-INF;2)U(2;+INF) нули: (0;1/2);(1/2;0) Асимптоты: вертикалная: x=2 Слева в минус бесконечность, справа в плюс. Наклонная:(1 фото) y=2 Производная: Функция везде убывает
удаччиииииии))). Или есть еще вариан по сложнее
Приложения:


Вас заинтересует
2 года назад
2 года назад
8 лет назад
10 лет назад
10 лет назад
10 лет назад
10 лет назад