• Предмет: Алгебра
  • Автор: Бикмапицетор
  • Вопрос задан 2 года назад

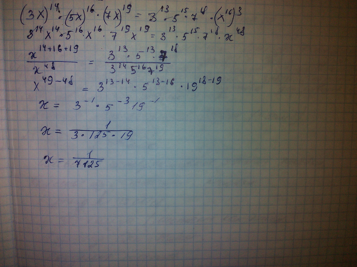
ДАЮ 50 БАЛЛОВ ПОЖАЛУЙСТА НАПИШИТЕ РЕШЕНИЕ!

Приложения:

KSamira: ага 50 лол в верху написано 5+3 Б

Ответы

Ответ дал: Юленька194
1
если есть вопросы пишите
Приложения:
Вас заинтересует