• Предмет: Химия
  • Автор: syuzannamariko
  • Вопрос задан 2 года назад

ДАЮ 40 БАЛЛОВ!!!
ПОЖАЛУЙСТА,РЕШИТЕ
ОТВЕТЫ С УРАВНЕНИЯМИ

Приложения:

Ответы

Ответ дал: klestatyana
1
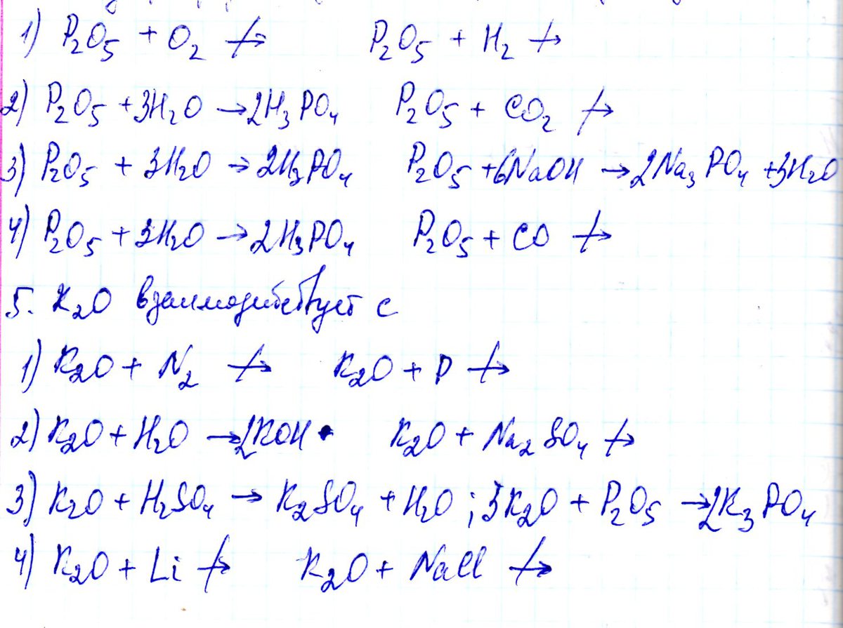
4. Ответ 3). P2O5 + 3H2O = 2H3PO4;  P2O5 + 6NaOH = 2Na3PO4 + 3H2O;
5. Ответ 3). K2O + H2SO4 = K2SO4 + H2O;  3K2O + P2O5 = 2K3PO4;
Ответ дал: mrvladimir2
1
Ответ на Ваш вопрос читайте в приложении
Приложения:
Вас заинтересует