Ответы
Ответ дал:
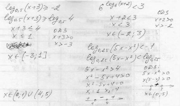
1
ну, как-то так!!!!!!!!!!!!!!!!
Приложения:

Вас заинтересует
1 год назад
1 год назад
2 года назад
7 лет назад