• Предмет: Математика
  • Автор: Rofulya
  • Вопрос задан 3 года назад

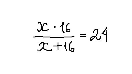
помогите как решить пример!!!

Приложения:

Ответы

Ответ дал: коля338
0
2x•16=24-16. 2x=8. X=4

Rofulya: ответ не совпадает
Rofulya: 4 не правильно, т.к там выйдет 3,2 а не 24
Rofulya: помоги еще плз
Вас заинтересует