• Предмет: Математика
  • Автор: dreamsu
  • Вопрос задан 11 лет назад

ПОМОГИТЕ ПОЖАЛУЙСТА!!!ЗАРАНЕЕ СПАСИБО!!!

ВЛОЖЕНИЕ ВНУТРИ!!

 

Приложения:

Ответы

Ответ дал: Yena
0

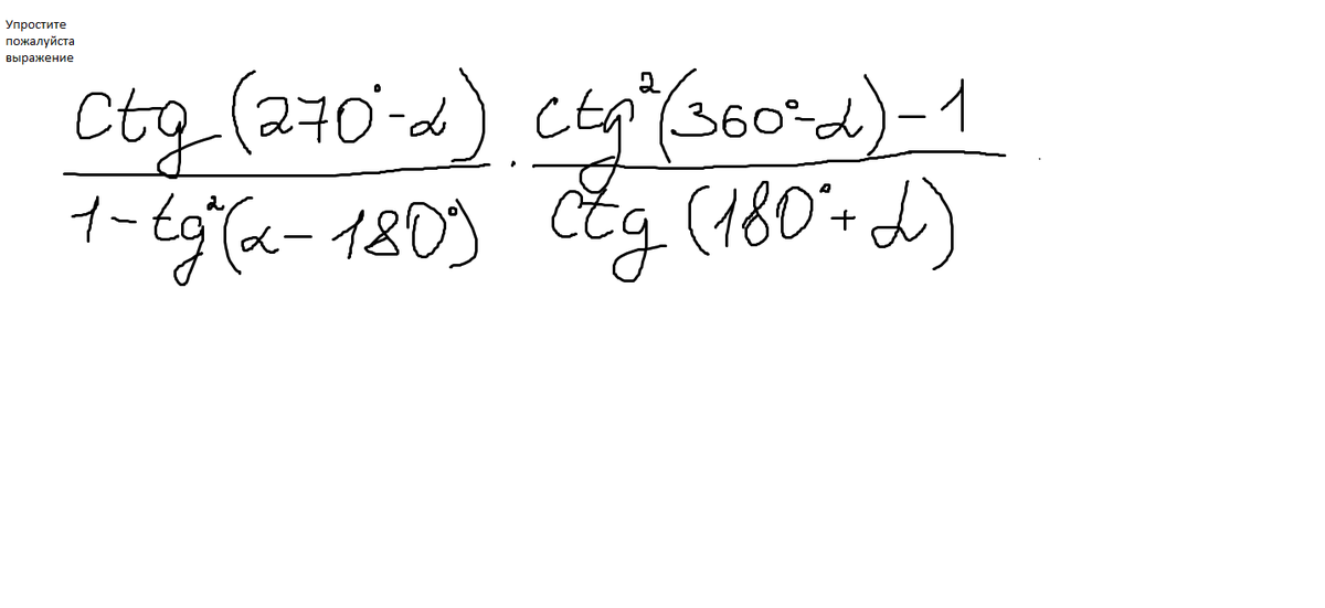
frac{ctg(270-alpha)}{1-tg^2(alpha-180)}*frac{ctg^2(360-alpha)-1}{ctg(180+alpha)}=frac{tgalpha}{1-tg^2alpha}*frac{ctg^2alpha-1}{ctgalpha}=

=frac{tgalpha}{tgalpha*ctgalpha-tg^2alpha}*frac{ctg^2alpha-tgalpha*ctgalpha}{ctgalpha}=frac{tgalpha}{tgalpha(ctgalpha-tgalpha)}*frac{ctgalpha(ctgalpha-tgalpha)}{ctgalpha}=1

 

//////////////////////////////////////////////////////////////////////////////////////////////////////

Вас заинтересует