• Предмет: Алгебра
  • Автор: PaulV
  • Вопрос задан 10 лет назад

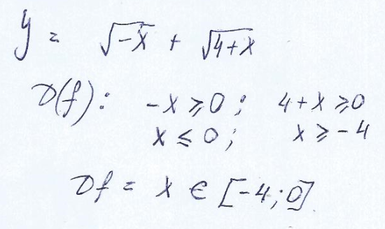
y=sqrt(-x)+sqrt(4+x) найти область определения функции

Ответы

Ответ дал: ilka1998
0
Смотри ответ в приложении 

Приложения:
Вас заинтересует