• Предмет: Математика
  • Автор: lili198
  • Вопрос задан 10 лет назад

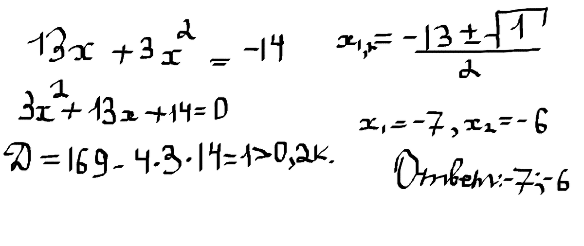
решите квадратное уравнение 13x+3x^2=-14

Ответы

Ответ дал: prekrasnayanast
0
Вот решение.....................
Приложения:
Вас заинтересует