• Предмет: Алгебра
  • Автор: 1998Anny1998
  • Вопрос задан 10 лет назад

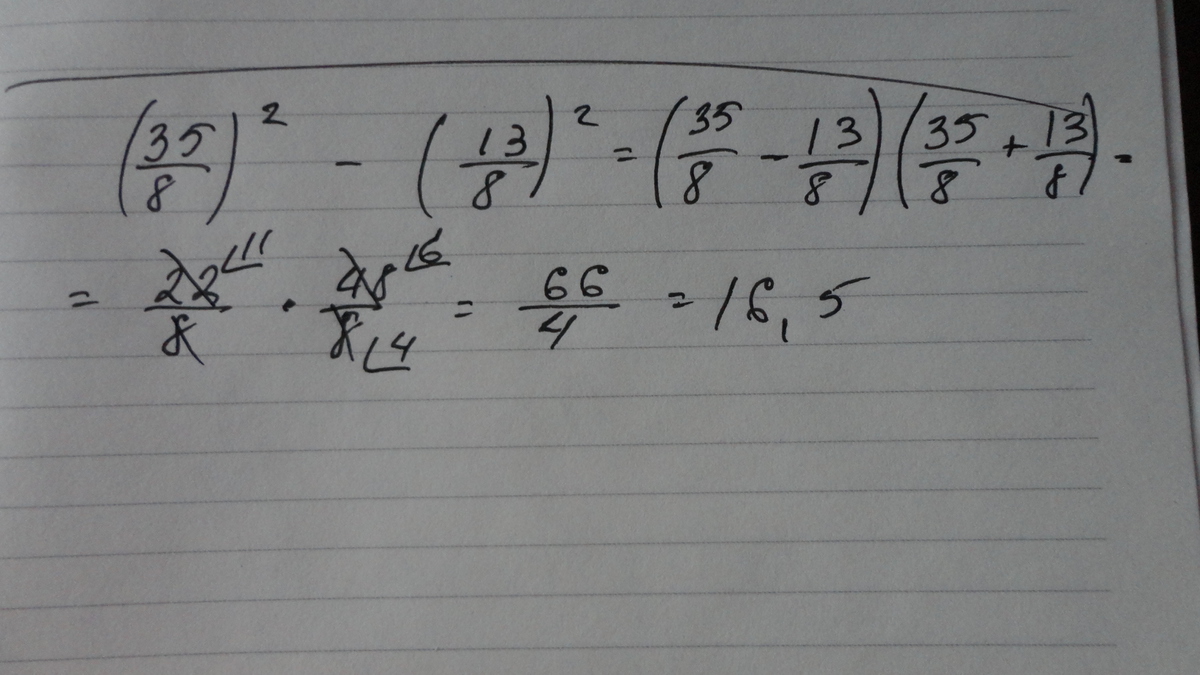
найдите значение выражения: (3 5/8)^2 - (1 3/8)^2 =

Ответы

Ответ дал: vodolagina1904
0
с помощью формулы сокращённого умножения 
Приложения:
Вас заинтересует