Помогите пожалуйста с решением показательной и логарифмической функций.
1. 3^(x+1) + 2*3^(x+2)=0
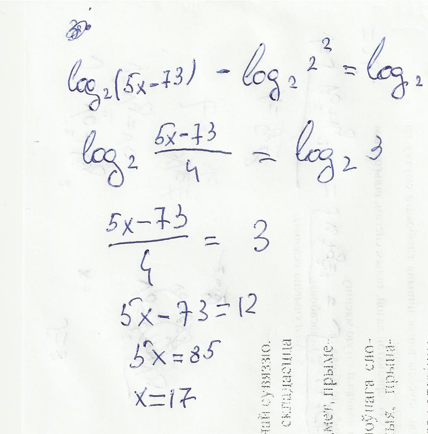
2. log2(5x-73)-2=log2(3)
ВНИМАНИЕ! нужно именно решение, а не ответы!
Приложения:

Ответы
Ответ дал:
0
смотри два
во влаженииии)))))))))))
Приложения:

Вас заинтересует
2 года назад
2 года назад
8 лет назад
8 лет назад
10 лет назад
10 лет назад