Ответы
Ответ дал:
0
Вот, держи :) ..........
Приложения:

Ответ дал:
0
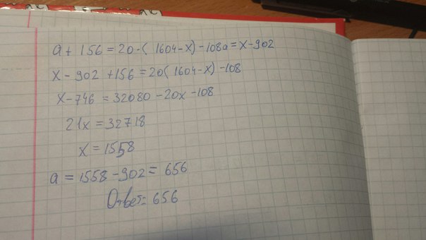
a=x-902
x-902+156=32080-20x-108
x+20x=31972+746
21x=32718
x=32718:21
x=1558
a=1558-902
x=656
x-902+156=32080-20x-108
x+20x=31972+746
21x=32718
x=32718:21
x=1558
a=1558-902
x=656
Приложения:

Вас заинтересует
2 года назад
2 года назад
7 лет назад
10 лет назад
10 лет назад
10 лет назад