Ответы
Ответ дал:
0
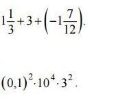
1) 4/3+3=13/3
13/3-19/12= 52-19/12=33/12=2,75
2) (0,1)^2= 10^-2
10^-2*10^4*3^2= 10^2*3^2=100*9=900
13/3-19/12= 52-19/12=33/12=2,75
2) (0,1)^2= 10^-2
10^-2*10^4*3^2= 10^2*3^2=100*9=900
Вас заинтересует
3 года назад
3 года назад
8 лет назад
8 лет назад
10 лет назад
10 лет назад
11 лет назад