• Предмет: Алгебра
  • Автор: kretipesh1
  • Вопрос задан 10 лет назад

Помогите решить!пожалуйста:ЗЗЗ

Приложения:

Ответы

Ответ дал: Support001
0
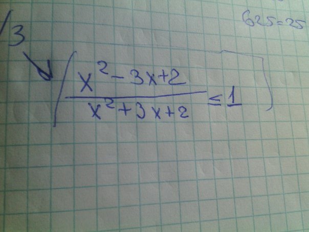
 frac{x^2-3x+2}{x^2+3x+2}  leq 1 \
x^2-3x+2 leq 1*(x^2+3x+2) \
x^2-3x+2  leq x^2+3x+2 \
x^2-3x+2-x^2-3x-2  leq 0 \
-6x  leq 0 \
6x  geq 0 \
x  geq 0
Вас заинтересует