Срррроооочнооо пооожааалллуйстааааа
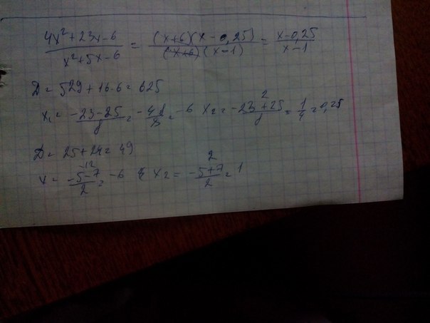
1.Сократите дробь
4x^2+23x-6 на x^2+5x-6
2.Решите уравнение
корень из 2x^2+2x=корень из -x-1
Ответы
Ответ дал:
0
по-моему всё элементарно)если я правильно сделала,хехе
Приложения:


Вас заинтересует
2 года назад
7 лет назад
7 лет назад
10 лет назад
10 лет назад