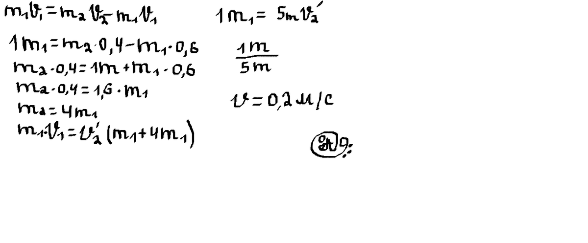
Пустой железнодорожный вагон катился со скоростью 1 м/с и после столкновения с груженой платформой начал двигаться со скоростью 0,6 м/с в обратном направлении. Груженая платформа в результате удара приобрела скорость 0,4 м/с. С какой скоростью двигались бы вагон и платформа, если бы при ударе сработала автосцепка?
Ответы
Ответ дал:
0
Ответ на картинке ниже)))
Приложения:

Вас заинтересует
2 года назад
2 года назад
7 лет назад
7 лет назад
10 лет назад
10 лет назад
10 лет назад