• Предмет: Математика
  • Автор: Can4eck0
  • Вопрос задан 10 лет назад

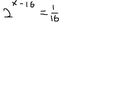
Найти корень уравнения

Приложения:

Ответа на этот вопрос пока нет. Попробуйте найти его через форму поиска.

Вас заинтересует