параллельные стороны трапеции равны 60 см. и 20 см., а боковые стороны равны 13 и 37 см.Найдите площадь трапеции
Ответы
Ответ дал:
0
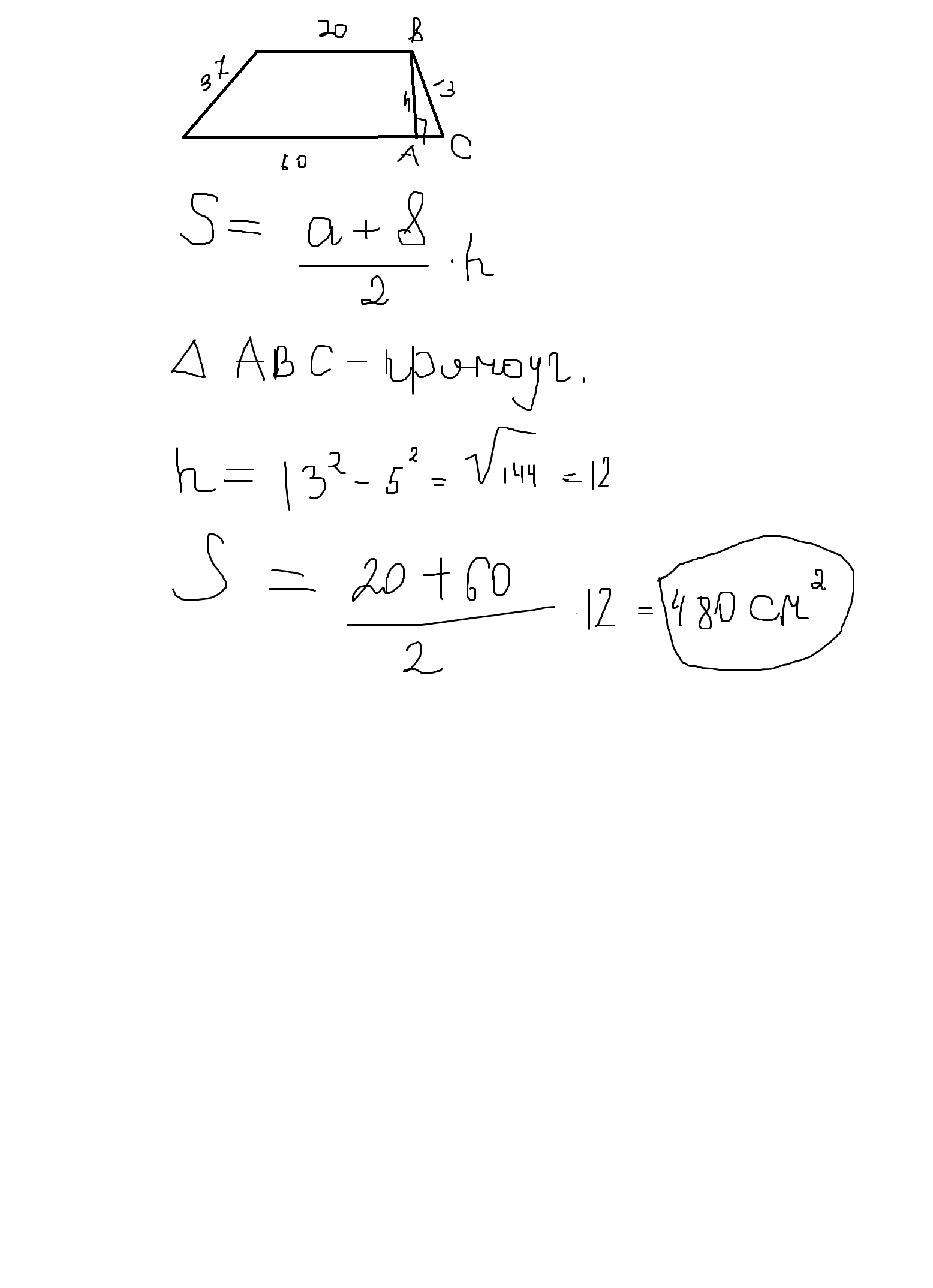
1.Дано: АВСД - трапеция, ВС//АД,ВС=20см, АД=60см, АВ=13см, СД=37см.
Найти: S
Из точек В и С опустим перпендикуляры на сторону АД. Совместим эти линии - получим треугольник со сторонами 13,37 и 40 (60-20=40).
По формуле Герона площадь этого треугольника равна:
√[45(45-13)(45-37)(45-40)]=√(45*32*8*5)=240 кв.см
а его высота:
240*2:40=120 см (использ.формулу S=1/2 a*h).
Sтрапеции=1/2(ВС+АД)*h=(20+60)*120:2=480 кв.см
Приложения:

Вас заинтересует
2 года назад
2 года назад
8 лет назад
10 лет назад
10 лет назад
10 лет назад