В трёх одинаковых бочках и в двух баках вместе было 750 кг горючего.В одной бочке 160 кг горючего.Сколько горючего в одном баке?
Ответы
Ответ дал:
0
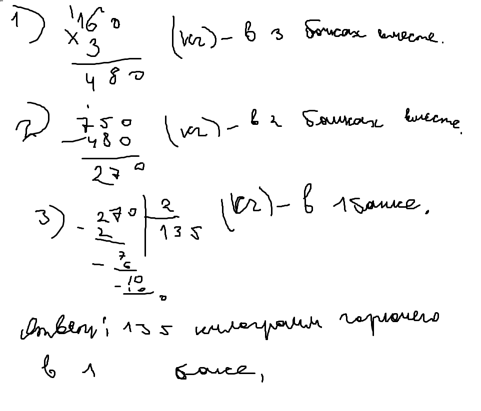
1) 160 * 3 = 480 ( кг ) - в 3 бочках
2) 750 - 480 = 270 ( кг ) - в 2 баках всместе
3) 270/2 = 135 ( кг ) - в 1 баке
Ответ: 135 кг .
Ответ дал:
0
Решение этой задачи во вложениях ............................................................................
Приложения:

Вас заинтересует
2 года назад
2 года назад
8 лет назад
10 лет назад
10 лет назад