ОЧень срочно!!! Посогите, пж!!!! Дан правильный тетраэдр, все рёбра равны, сторона равна 5 см, нужно найти объём пирамиды.
Ответы
Ответ дал:
0
Тетраэдр - правильная пирамида, все грани которой равны, в том числе и основание. Объем пирамиды равен: (S*H)/3, то есть площади основания, а в нашем случае - одной грани, умноженной на высоту, опущенную к ней с вершины. Рассмотрим треугольник АВС: АК = КС = АС/2 = 5/2. В правильном треугольнике все медианы являются биссектрисами и высотами, и между собой они равны. Найдем медиану ВК: из теоремы Пифагора: BK^2 = BC^2 - KC^2, BK^2 = 25 - 25/4 = (100 - 25)/4 = 75/4, BK = пять корней из трех поделить на два. Нужно найти катет прямоугольного треугольника ОС; для этого вспомним, что медианы пересекаются в одной точке, которая делит их в соотношении 2:1, начиная от вершины. ВО = 2ОК. ВК = ВО + ОК, ВК = ОК + 2ОК, 3ОК = пять корней из трех поделить на два. ОК = пять корней из трех поделить на шесть. ВО = пять корней из трей поделить на три.
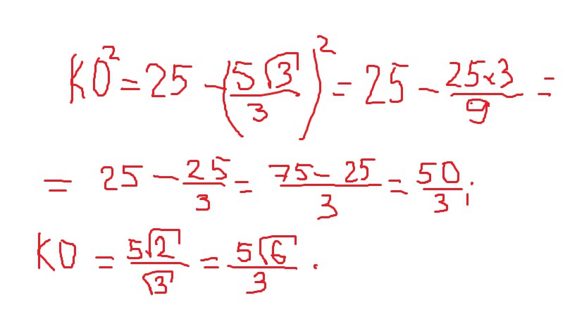
BO = CO = AO. Из прямоугольного треугольника КОС: из теоремы Пифагора: KO^2 = KC^2 - OC^2, KO^2 = 25 - (25*3)/9, KO^2 = 50/3, KO = пять корней из шести поделить на три.
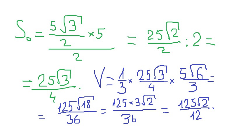
Найдем площадь основания: S = (BK* AC)/2 = 25 корней из 3 поделить на 4.
Объем пирамиды равен: 125 корней из двух разделить на 12.
BO = CO = AO. Из прямоугольного треугольника КОС: из теоремы Пифагора: KO^2 = KC^2 - OC^2, KO^2 = 25 - (25*3)/9, KO^2 = 50/3, KO = пять корней из шести поделить на три.
Найдем площадь основания: S = (BK* AC)/2 = 25 корней из 3 поделить на 4.
Объем пирамиды равен: 125 корней из двух разделить на 12.
Приложения:
Ответ дал:
0
Сейчас допишу, случайно отправил
Вас заинтересует
3 года назад
3 года назад
8 лет назад
10 лет назад
10 лет назад
10 лет назад