Ответы
Ответ дал:
0
Чтобы квадратный корень извлекался, подкоренное выражение должно быть больше или равно нулю.
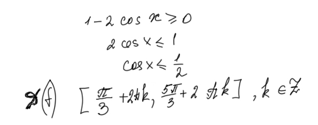
Решение в прикрепленном файле
Решение в прикрепленном файле
Приложения:

Вас заинтересует
7 лет назад
7 лет назад
10 лет назад
10 лет назад