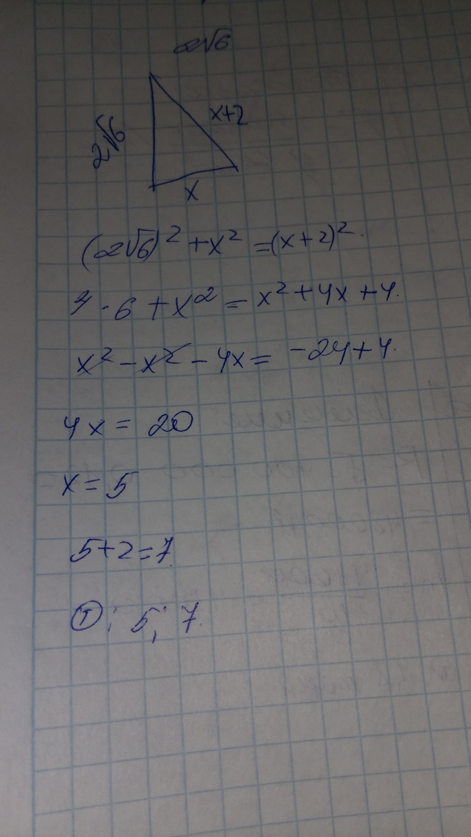
один из катетов прямоугольного треугольника равен 2из под корня 6 см а второй катет на 2 см меньше гипотенузы
помогите пожалуйста
Ответы
Ответ дал:
0
решение задачи на картинке
Приложения:

Вас заинтересует
2 года назад
2 года назад
7 лет назад
7 лет назад
10 лет назад
10 лет назад
10 лет назад