• Предмет: Алгебра
  • Автор: Malm0
  • Вопрос задан 10 лет назад

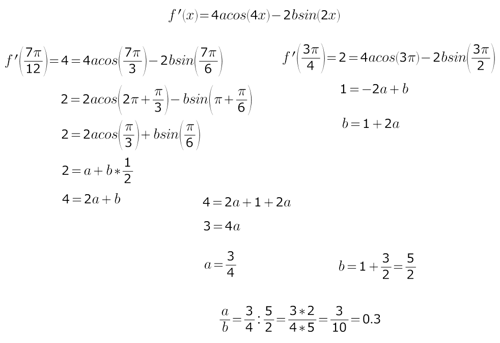
Даю 20 баллов, решите 95 пример пожалуйста, буду благодарен вам за помощь

Приложения:

Ответы

Ответ дал: LFP
0
также использованы значения триг.ф-ций и формулы приведения))
Приложения:
Вас заинтересует