• Предмет: Алгебра
  • Автор: Аноним
  • Вопрос задан 11 лет назад

Помогите решить пожалуйста.

Предел последовательности.

Задания во вложении.

Приложения:

Ответы

Ответ дал: palilov2436
0

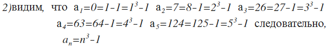
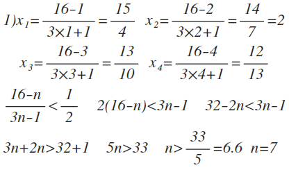
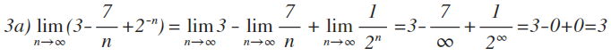
см.во вложении 

буду добавлять по мере решения

удачи!!

Приложения:
Вас заинтересует