Решить уравнение: x в четвёртой степени -11x во второй степени+18=0 (ответ должен получиться x1,2=плюс минус 3;x3,4=плюс минус корень из двух)
Ответы
Ответ дал:
0
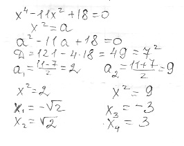
решать можно как обычное квадратное уравнение , через дискриминант
Приложения:

Ответ дал:
0
x^4- 11x+ 18=0
Пусть x^2= t, тогда
t^2-11t+ 18= 0
11+-√121-72
t=-------------------
2
11+-7
t= -----------
2
t= 9
t= 2
Решим квадратное уравнение, где x^2= t
Получим:
x^2=9 и x^2= 2
x= 3 x=√2
x=-3 x=-√2
Ответ: 3, -3, √2, -√2
Приложения:

Вас заинтересует
2 года назад
2 года назад
8 лет назад
10 лет назад
10 лет назад
10 лет назад