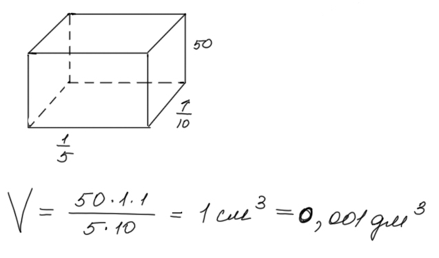
Длина прямоугольника параллелепипеда равна 1/5 сантиметров ширина одной 1/10 метров а высота 50 сантиметров Вычислите Объем параллелепипеда в кубических дециметрах
Ответы
Ответ дал:
0
Решение в прикрепленном файле.
Приложения:
Вас заинтересует
3 года назад
3 года назад
8 лет назад
8 лет назад
10 лет назад
10 лет назад
10 лет назад
10 лет назад