• Предмет: Математика
  • Автор: Qouris
  • Вопрос задан 10 лет назад

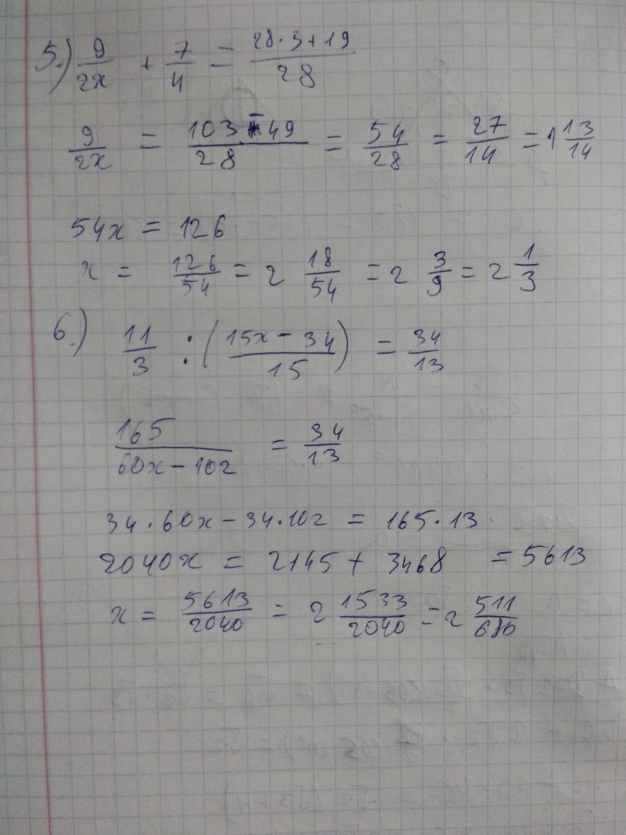
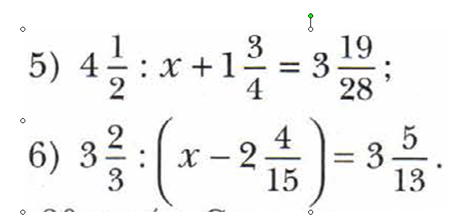
Решите уравнения:
20 баллов!!!

Приложения:

Ответы

Ответ дал: 1041111
0
Ну как то так. Числа какие то ужасные получились правда
Приложения:
Ответ дал: Qouris
0
Спасибо, БРО
Вас заинтересует