• Предмет: Математика
  • Автор: МамаШолпан
  • Вопрос задан 10 лет назад

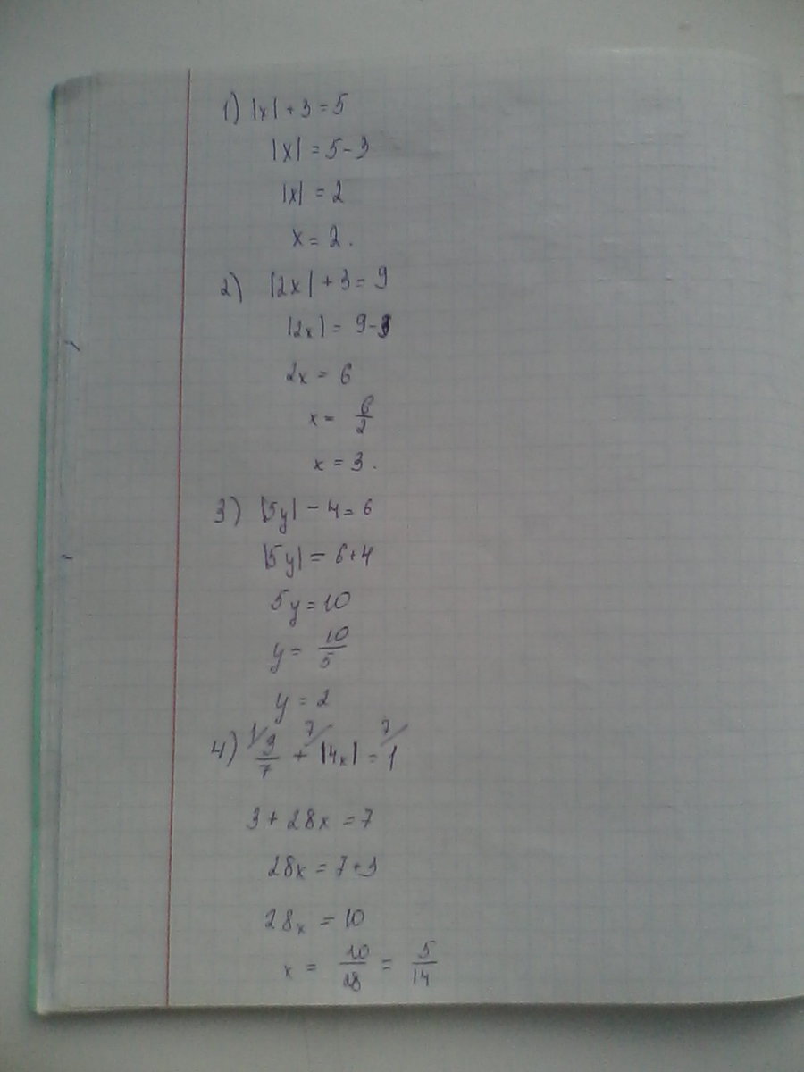
|х|+3=5
|y|-2=1
|2x|+3=9
|5y|-4=6
3/7+|4x|=1
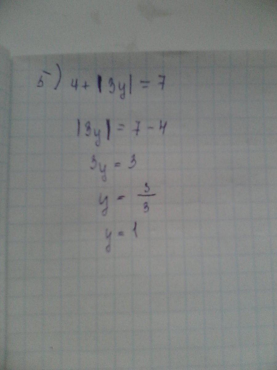
4+|3y|=7
помогите решить задачу пожалуйста

Ответы

Ответ дал: ManaenkovaMaria
0
Может быть и не правильно, но тем не менее. Как-то так:
Приложения:
Вас заинтересует