• Предмет: Алгебра
  • Автор: lololoshka322
  • Вопрос задан 10 лет назад

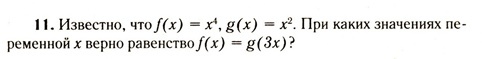
здесь получается при х - любое число?

Приложения:

Ответы

Ответ дал: okneret
0
Использовано определение функции
Приложения:
Вас заинтересует